郑州电力中等专业学校2025年招生一览表
对口招生专业、郑州电力职业技术学院(代码6303)2024年单招专业代号、郑州电力职业技术学院(代码6303)2024年文、理科招生专业代号、郑州电力职业技术学院(代码6303)2024年艺术类招生专业代号、郑州电力职业技术学院(代码6303)2024年招生专业、郑州电力职业技术学院开封产融校区(代码6303)2024年文、理科招生专业代号
院校招生办公室
发布日期:2025年5月10日
郑州电力中等专业学校2025年招生一览表

对口招生专业

郑州电力职业技术学院(代码6303)2024年招生专业
2024年招生专业.png)
郑州电力职业技术学院(代码6303)2024年单招专业代号
2024年单招专业代号.png)
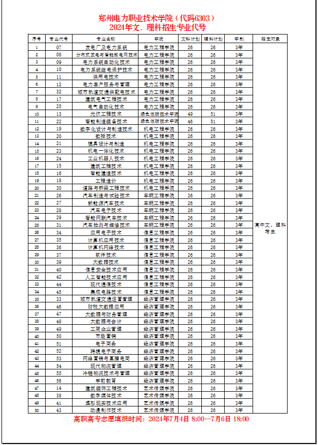
郑州电力职业技术学院(代码6303)2024年文、理科招生专业代号
2024年文、理科招生专业代号.png)
郑州电力职业技术学院(代码6303)2024年艺术类招生专业代号
2024年艺术类招生专业代号.png)
郑州电力职业技术学院开封产融校区(代码6303)2024年文、理科招生专业代号
2024年文、理科招生专业代号.png)
招生工作办公室
2025年2月20日






