广西

历年招生分数
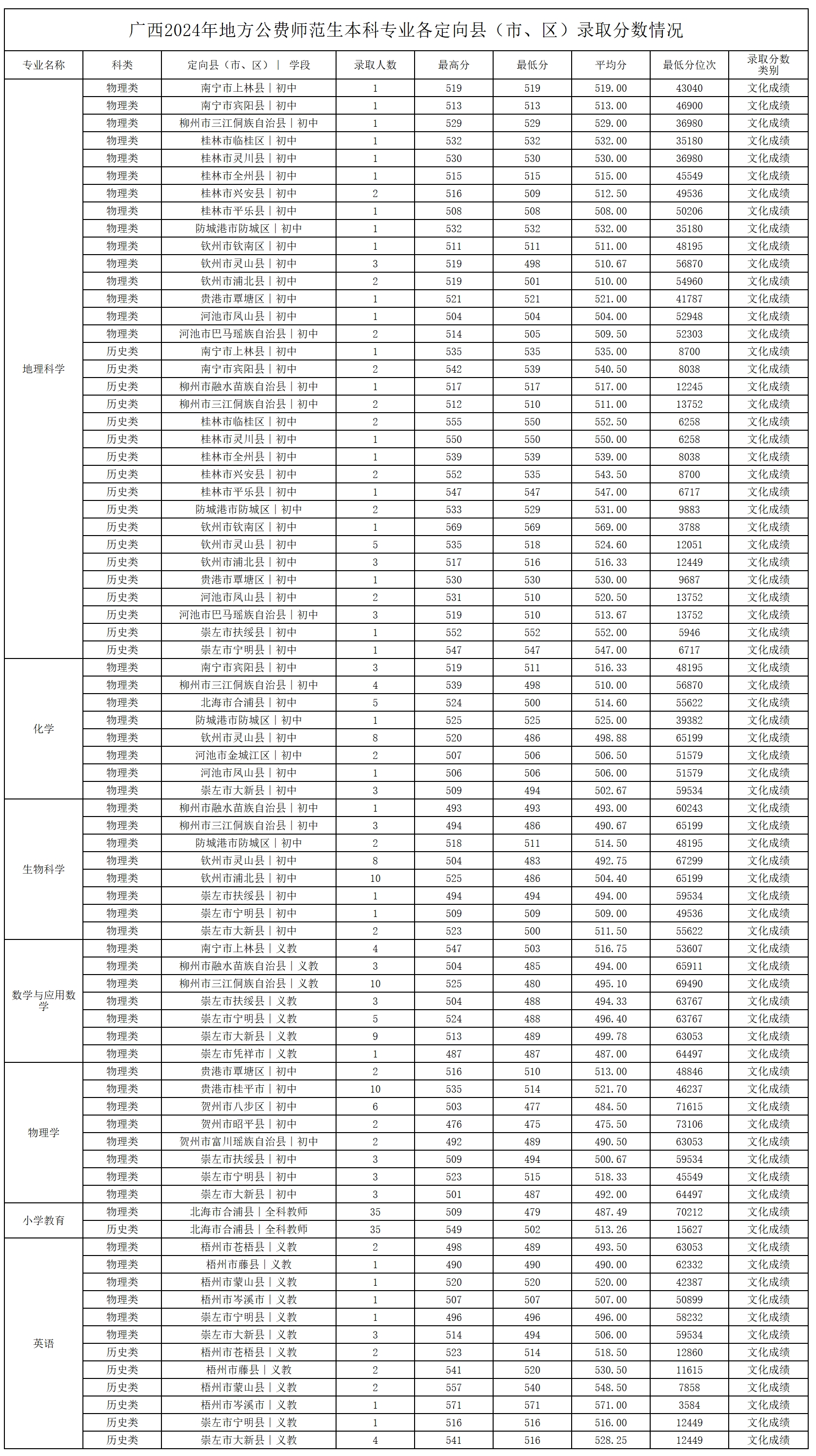
2024年 : 广西民族师范学院-广西2024年地方公费师范生本科专业各定向县(市、区)录取分数情
2024年 : 广西民族师范学院-外省2024年各专业录取分数情况
2023年 : 广西民族师范学院-2023年招生分数线
流金歲月 「 我的大學 - 我的萬水千山 」






院校招生办公室
录取分数情况.jpeg)
招生工作办公室
2025年6月30日
历年招生分数
2024年 : 广西民族师范学院-广西2024年地方公费师范生本科专业各定向县(市、区)录取分数情
2024年 : 广西民族师范学院-外省2024年各专业录取分数情况
2023年 : 广西民族师范学院-2023年招生分数线



大学志 * 整理招生信息 *