贵州

历年招生分数
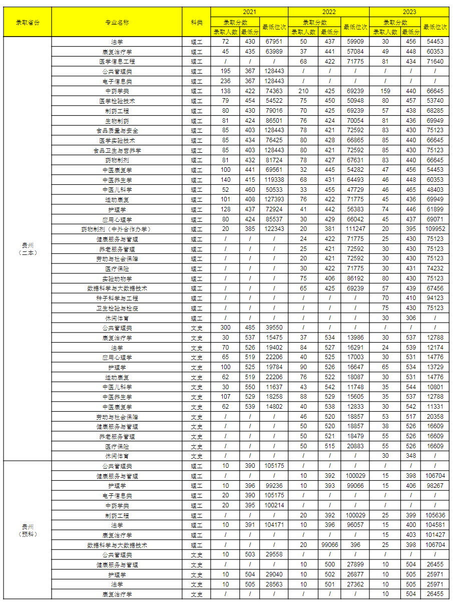
2023年 : 贵州中医药大学2021-2023各省各专业录取分数及位次
2022年 : 贵州中医药大学-2022年招生录取分数统计表
2021年 : 贵州中医药大学-2021年招生录取分数统计表
流金歲月 「 我的大學 - 我的萬水千山 」






院校招生办公室






历年招生分数
2023年 : 贵州中医药大学2021-2023各省各专业录取分数及位次
2022年 : 贵州中医药大学-2022年招生录取分数统计表
2021年 : 贵州中医药大学-2021年招生录取分数统计表



大学志 * 整理招生信息 *