大连工业大学艺术与信息工程学院-辽宁省考生,学校2025年报考指南
院校招生办公室
发布日期:2025年6月12日
辽宁省2025年普通高等学校招生
文化课录取控制分数线

为助力2025届高考考生
启航盛夏,圆梦大学
小编精心为辽宁省考生及家长整理了
大连工业大学艺术与信息工程学院
2025年报考指南
欢迎报考
大连工业大学艺术与信息工程学院
一、参见由辽宁省招生考试办公室编写的《辽宁招生考试》杂志
院校代号:3203
各专业投档最低分及位次查询
物理学科类本科批各专业投档最低分及位次在第11-12期第24页
艺术(物理学科类)本科批各专业投档最低分、文化总分在第8期第28页
艺术(历史学科类)本科批各专业投档最低分、文化总分在第8期第13页
招生计划目录查询:
物理学科类本科批各专业招生计划在第19期第5页
艺术(物理学科类)本科批各专业招生计划在第24期第49页
艺术(历史学科类)本科批各专业招生计划在第24期第17页
二、2025辽宁省分专业招生计划数,近三年分专业录取分数线及对应位次表
三、我校在辽宁省招生院校代码及录取批次
四、2025年我校在辽宁省分专业招生计划及录取批次

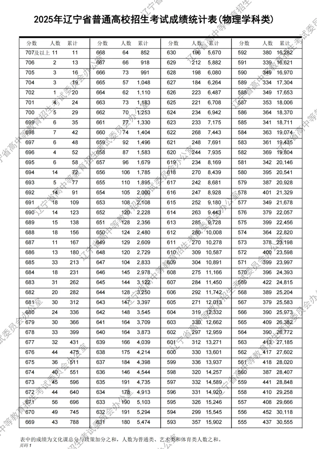
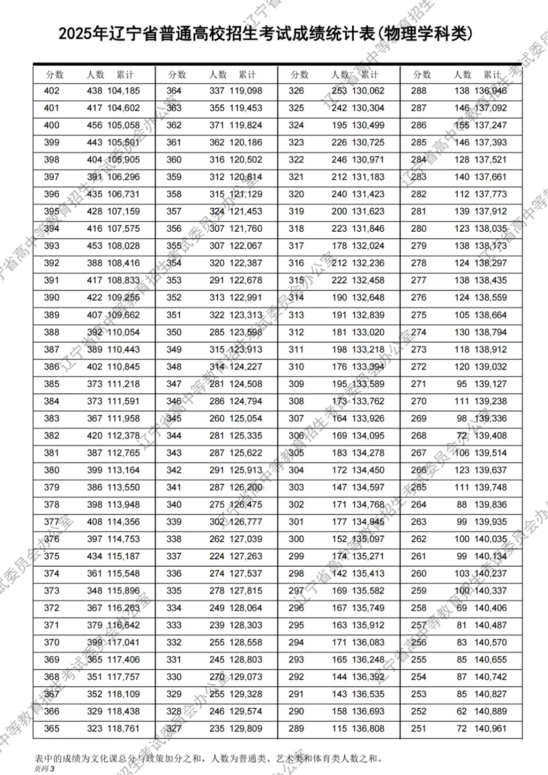
五、2025年辽宁省普通高校招生考试成绩统计表(一分一段)
普通·物理学科类



艺术·物理学科类


艺术·历史学科类



六、我校2025年招生官方咨询方式
各专业招生咨询电话
学校简介

大连工业大学艺术与信息工程学院是一所经教育部批准设立,由大连工业大学按新机制和新模式举办的全日制普通本科高校。学校成立于2002年6月,现有全日制本科生8300余人。学校先后获得“教育部‘1+X证书’试点院校”“全国综合实力独立学院”“辽宁省高校毕业生就业工作先进集体”“辽宁省大学生创业教育示范校”等荣誉称号。
学校地处素有“北方明珠”“浪漫之都”之称的辽宁省大连市,校区位于大连庄河市,这里山青水绿,钟灵毓秀,这里碧海蓝天,风光旖旎,这里环境优美,风景如画。
新时代新征程,大连工业大学艺术与信息工程学院坚持以习近平新时代中国特色社会主义思想为指导,深入贯彻落实党的二十大精神,牢记为党育人、为国育才使命,努力把学校建设成为特色鲜明、优势明显的应用型大学。
招生工作办公室
2025年6月12日






